Repertoire analysis

Published

May 28, 2024

Count distribution

Figure 1: # of clone distribution per sample

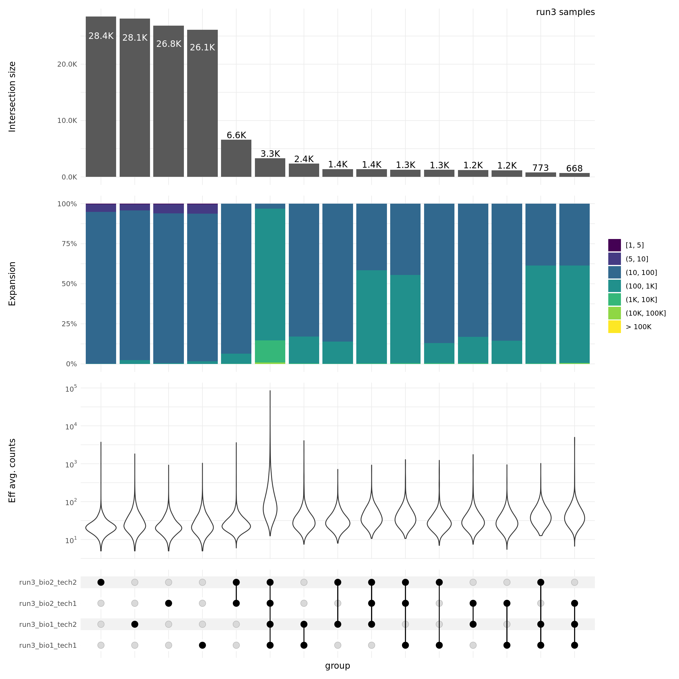
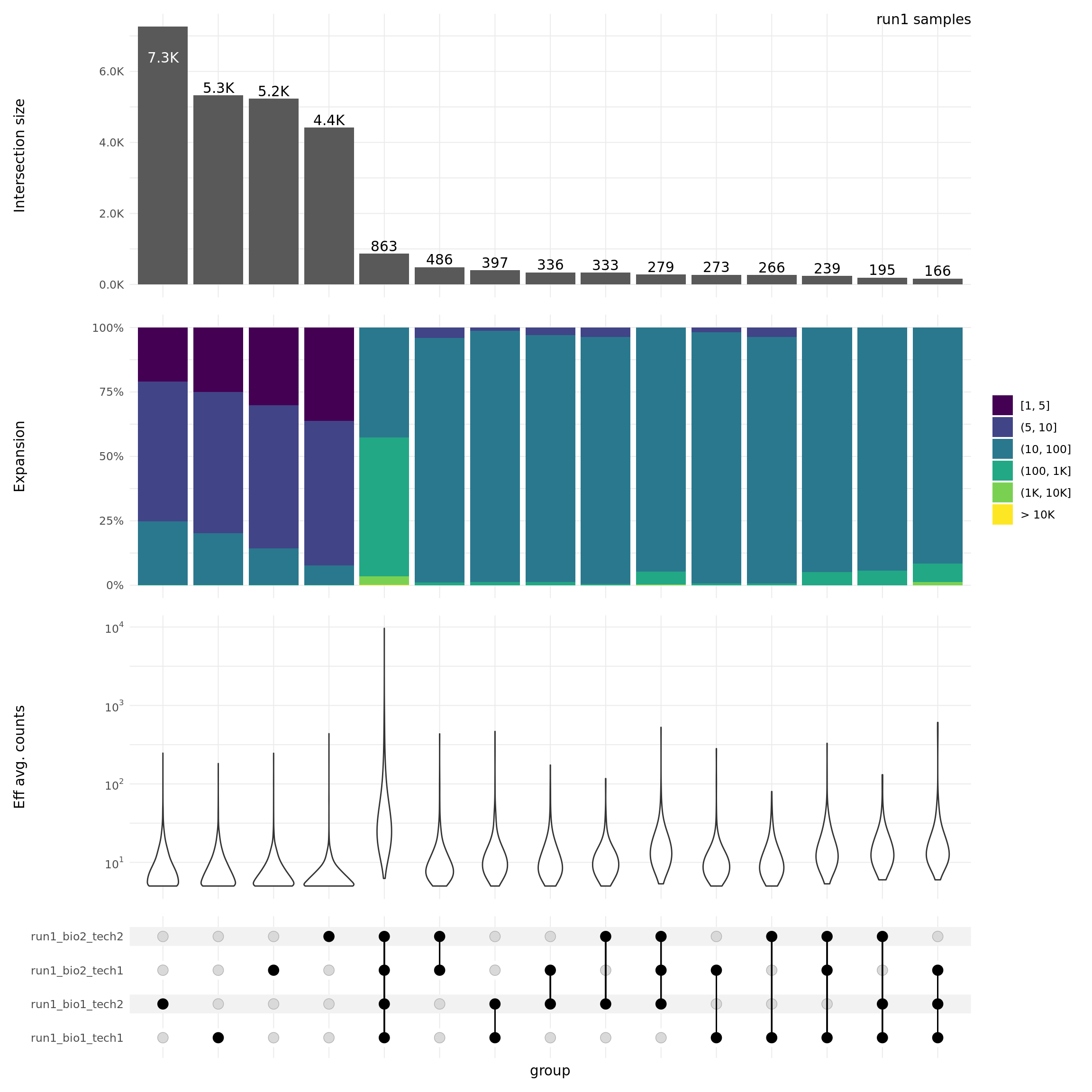
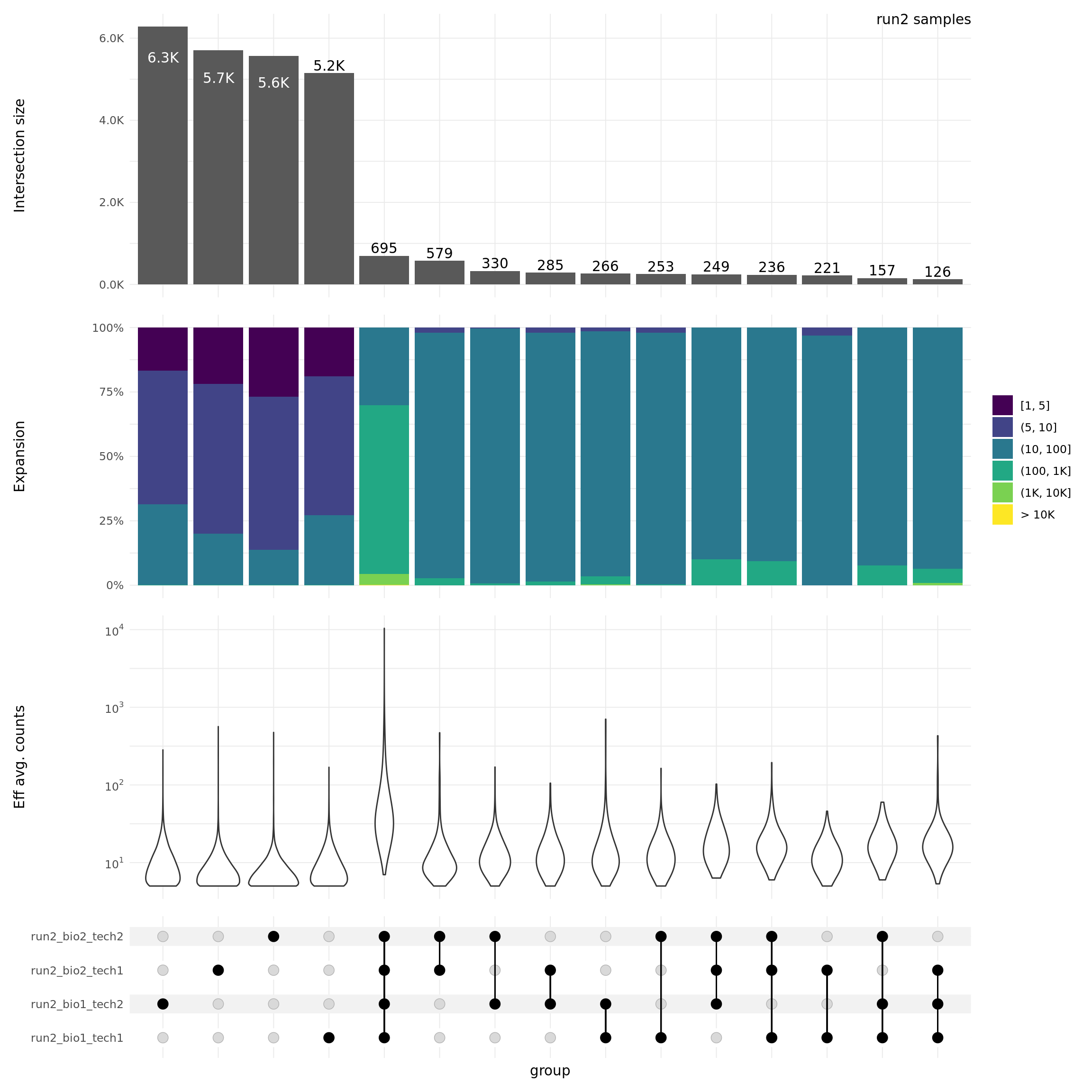
Shared clonotypes per group

The figures below have clonotypes repeated \(\geq\) 5 times

Figure 2: UpSet plot for run1 samples.
Figure 3: UpSet plot for run2 samples.
Figure 4: UpSet plot for run3 samples.

Diversity analysis

The diversity is generalized to the Renyi entropy defined as:

\[ H(\alpha) = \frac{1}{1 - \alpha} \log \left( \sum_{i=1}^n p_i^\alpha \right) \]

where:

  • \(n\) is the total number of unique clonotypes
  • \(p_i\) is the clonotype frequency for clonotype \(i\)
Figure 5: Renyi entropy curves

VJ gene usage

Figure 6: Gene frequency usage per group

VJ genes paired usage

The figures use the clonotypes annotated by unique V and J genes, and ignoring the genes that portray less than 15% of the total number of annotated clonotypes

Figure 7: Chord diagram for run1_bio1_tech1 sample
Figure 8: Chord diagram for run1_bio1_tech2 sample
Figure 9: Chord diagram for run1_bio2_tech1 sample
Figure 10: Chord diagram for run1_bio2_tech2 sample
Figure 11: Chord diagram for run2_bio1_tech1 sample
Figure 12: Chord diagram for run2_bio1_tech2 sample
Figure 13: Chord diagram for run2_bio2_tech1 sample
Figure 14: Chord diagram for run2_bio2_tech2 sample
Figure 15: Chord diagram for run3_bio1_tech1 sample
Figure 16: Chord diagram for run3_bio1_tech2 sample
Figure 17: Chord diagram for run3_bio2_tech1 sample
Figure 18: Chord diagram for run3_bio2_tech2 sample

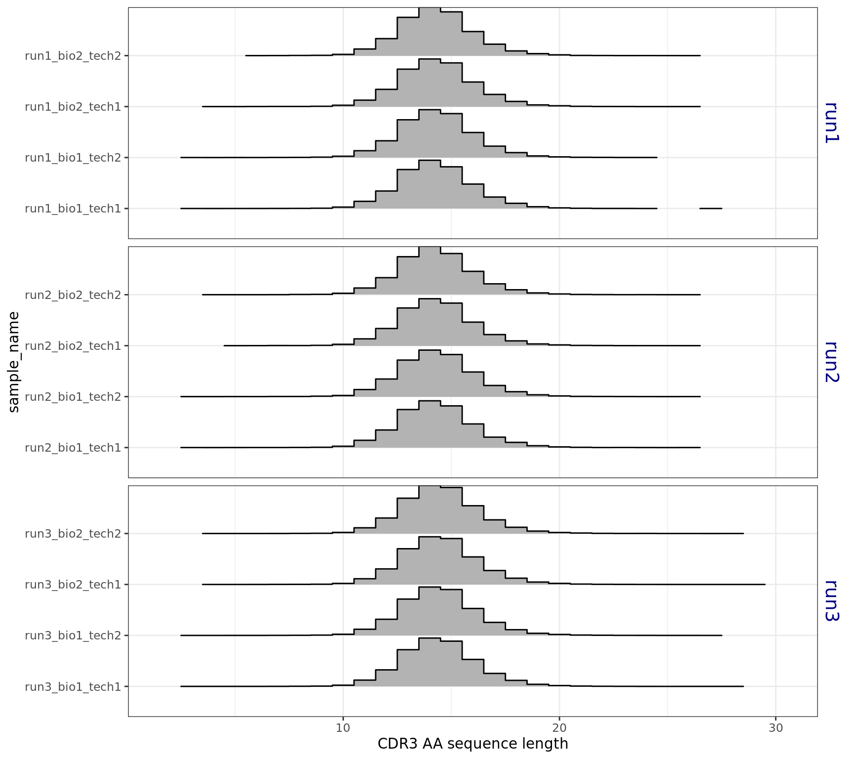
CDR3 sequence length analysis

Figure 19: Histograms of CDR3 AA sequences’ length

Appendix

─ Session info ───────────────────────────────────────────────────────────────
 setting  value
 version  R version 4.4.0 (2024-04-24)
 os       Ubuntu 20.04.5 LTS
 system   x86_64, linux-gnu
 ui       X11
 language (EN)
 collate  en_US.UTF-8
 ctype    en_US.UTF-8
 tz       UTC
 date     2024-05-28
 pandoc   2.5 @ /usr/bin/ (via rmarkdown)
 quarto   1.4.549

─ Packages ───────────────────────────────────────────────────────────────────
 package      * version date (UTC) lib source
 circlize     * 0.4.16  2024-02-20 [2] RSPM (R 4.3.0)
 ComplexUpset * 1.3.3   2021-12-11 [2] RSPM (R 4.2.0)
 dplyr        * 1.1.4   2023-11-17 [1] CRAN (R 4.4.0)
 forcats      * 1.0.0   2023-01-29 [2] RSPM (R 4.2.0)
 ggplot2      * 3.4.4   2023-10-12 [1] CRAN (R 4.4.0)
 ggridges     * 0.5.6   2024-01-23 [2] RSPM (R 4.3.0)
 lubridate    * 1.9.3   2023-09-27 [2] RSPM (R 4.3.0)
 magrittr     * 2.0.3   2022-03-30 [2] RSPM (R 4.2.0)
 Polychrome   * 1.5.1   2022-05-03 [2] RSPM (R 4.2.0)
 purrr        * 1.0.2   2023-08-10 [2] RSPM (R 4.2.0)
 readr        * 2.1.5   2024-01-10 [2] RSPM (R 4.3.0)
 sessioninfo  * 1.2.2   2021-12-06 [2] RSPM (R 4.2.0)
 stringr      * 1.5.1   2023-11-14 [2] RSPM (R 4.3.0)
 tibble       * 3.2.1   2023-03-20 [2] RSPM (R 4.3.0)
 tidyr        * 1.3.1   2024-01-24 [2] RSPM (R 4.3.0)
 tidyverse    * 2.0.0   2023-02-22 [2] RSPM (R 4.2.0)
 yaml         * 2.3.8   2023-12-11 [2] RSPM (R 4.3.0)

 [1] /usr/local/lib/R/site-library
 [2] /usr/lib/R/site-library
 [3] /usr/lib/R/library

──────────────────────────────────────────────────────────────────────────────